Exam Code: 1Z0-819 (Practice Exam Latest Test Questions VCE PDF)
Exam Name: Java SE 11 Developer
Certification Provider: Oracle
Free Today! Guaranteed Training- Pass 1Z0-819 Exam.
Free demo questions for Oracle 1Z0-819 Exam Dumps Below:
NEW QUESTION 1
Given:
What is the output?
- A. :APPLE:ORANGE:BANANAappleorangebanana
- B. :APPLE:ORANGE:BANANA
- C. APPLE:apple ORANGE:orange BANANA:banana
- D. appleorangebanana:APPLE:ORANGE:BANANA
- E. apple:APPLE orange:ORANGE banana:BANANA
Answer: E
Explanation: 
NEW QUESTION 2
Given:
What is the result?
- A. Map: 0 Keys: 0 Values: 0
- B. The compilation fails.
- C. Map: 4 Keys: 4 Values: 4
- D. Map: 4 Keys: 0 Values: 0
- E. Map: 0 Keys: 4 Values: 4
Answer: D
Explanation: 
NEW QUESTION 3
Given:
Which two independent changes will make the Main class compile? (Choose two.)
- A. Move the entire Student class declaration to a separate Java file, Student.java.
- B. Change line 2 to public Student(String classname).
- C. Change line 1 to public class Student {.
- D. Change line 3 to Student student = new Student(“Biology”);.
- E. Change line 1 to static class Student {.
Answer: BD
Explanation: 
NEW QUESTION 4
Given:
What must be added in line 1 to compile this class?
- A. catch(IOException e) { }
- B. catch(FileNotFoundException | IndexOutOfBoundsException e) { }
- C. catch(FileNotFoundException | IOException e) { }
- D. catch(IndexOutOfBoundsException e) { }catch(FileNotFoundException e) { }
- E. catch(FileNotFoundException e) { }catch(IndexOutOfBoundsException e) { }
Answer: A
NEW QUESTION 5
Which code fragment prints 100 random numbers?
- A. Option A
- B. Option B
- C. Option C
- D. Option D
Answer: D
NEW QUESTION 6
Given:
Assuming that this code compiles correctly, which three statements are true? (Choose three.)
- A. B cannot be abstract.
- B. B is a subtype of A.
- C. A cannot be abstract.
- D. A cannot be final.
- E. B cannot be final.
- F. A is a subtype of B.
Answer: ABD
NEW QUESTION 7
Which two statements are true about Java modules? (Choose two.)
- A. Modular jars loaded from --module-path are automatic modules.
- B. Any named module can directly access all classes in an automatic module.
- C. Classes found in –classpath are part of an unnamed module.
- D. Modular jars loaded from –classpath are automatic modules.
- E. If a package is defined in both the named module and the unnamed module, then the package in the unnamed module is ignored.
Answer: AC
NEW QUESTION 8
Given:
Which two interfaces can be used in lambda expressions? (Choose two.)
- A. MyInterface1
- B. MyInterface3
- C. MyInterface5
- D. MyInterface2
- E. MyInterface4
Answer: CD
NEW QUESTION 9
Given:
Which one is correct?
- A. An IllegalThreadStateException is thrown at run time.
- B. Three threads are created.
- C. The compilation fails.
- D. Four threads are created.
Answer: A
Explanation: 
NEW QUESTION 10
Given:
Which statement on line 1 enables this code fragment to compile?
- A. Function function = String::toUpperCase;
- B. UnaryOperator function = s > s.toUpperCase();
- C. UnaryOperator<String> function = String::toUpperCase;
- D. Function<String> function = m > m.toUpperCase();
Answer: C
Explanation: 
NEW QUESTION 11
Given:
And the command: java Main Helloworld What is the result ?
- A. Input: Echo:
- B. Input: Helloworld Echo: Helloworld
- C. Input:Then block until any input comes from System.in.
- D. Input:Echo: Helloworld
- E. A NullPointerException is thrown at run time.
Answer: C
Explanation: 
NEW QUESTION 12
Given: Automobile.java
Car.java
What must you do so that the code prints 4?
- A. Remove the parameter from wheels method in line 3.
- B. Add @Override annotation in line 2.
- C. Replace the code in line 2 with Car ob = new Car();
- D. Remove abstract keyword in line 1.
Answer: B
Explanation: 
NEW QUESTION 13
Given:
executed using command:
java Hello “Hello World” Hello World What is the output?
- A. An exception is thrown at runtime.
- B. Hello WorldHello World
- C. Hello World Hello World
- D. Hello WorldHelloWorld
- E. HelloHello WorldHelloWorld
Answer: C
NEW QUESTION 14
Given this enum declaration:
Examine this code: System.out.println(Letter.values()[1]);
What code should be written at line 5 for this code to print 200?
- A. public String toString() { return String.valueOf(ALPHA.v); }
- B. public String toString() { return String.valueOf(Letter.values()[1]); }
- C. public String toString() { return String.valueOf(v); }
- D. String toString() { return “200”; }
Answer: C
Explanation: 
NEW QUESTION 15
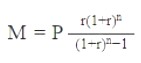
Given the formula to calculate a monthly mortgage payment:
and these declarations:
How can you code the formula?
- A. m = p * (r * Math.pow(1 + r, n) / (Math.pow(1 + r, n) - 1));
- B. m = p * ((r * Math.pow(1 + r, n) / (Math.pow(1 + r, n)) - 1));
- C. m = p * r * Math.pow(1 + r, n) / Math.pow(1 + r, n) - 1;
- D. m = p * (r * Math.pow(1 + r, n) / Math.pow(1 + r, n) - 1);
Answer: A
NEW QUESTION 16
Given:
Which two lines inserted in line 1 will allow this code to compile? (Choose two.)
- A. protected void walk(){}
- B. void walk(){}
- C. abstract void walk();
- D. private void walk(){}
- E. public abstract void walk();
Answer: AE
NEW QUESTION 17
Given:
Which option should you choose to enable the code to print Something happened?
- A. Add extends GeneralException on line 1.Add extends Exception on line 2.
- B. Add extends SpecificException on line 1.Add extends GeneralException on line 2.
- C. Add extends Exception on line 1.Add extends Exception on line 2.
- D. Add extends Exception on line 1.Add extends GeneralException on line 2.
Answer: D
Explanation: 
NEW QUESTION 18
......
100% Valid and Newest Version 1Z0-819 Questions & Answers shared by 2passeasy, Get Full Dumps HERE: https://www.2passeasy.com/dumps/1Z0-819/ (New 175 Q&As)